Готовимся  к ЕГЭ
  [Главная] [Русский язык] [Математика] [История] [Обществознание] [ГИА по Информатике]
  title="3
 

Нажмите кнопку Сброс, затем приступайте к решению.

  1. Цена яблок уменьшилась на 20%. Сколько яблок можно теперь купить на те же деньги, на которые раньше можно было купить 3,2 кг?

  2. На рисунке изображен график, описывающий прямолинейное движение автомобиля из пункта А в пункт В. По горизонтальной оси отложено время (в часах), по вертикальной - расстояние от пункта А (в километрах). Через некоторое время после выезда из пункта А автомобиль вынужден был остановиться для небольшого ремонта. Определите, сколько минут автомобиль находился в движении после окончания ремонта.

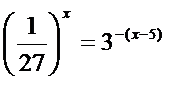
  3. Найдите корень уравнения

  4. Найдите значение выражения
    при x=-p/4.

  5. Бассейн прямоугольной формы окружен вымощенной дорожкой, как показано на рисунке (дорожка заштрихована). Какова площадь дорожки (в квадратных метрах)?

  6. На клетчатой бумаге с клетками размером 1 см * 1 см изображен треугольник (см. рис.). Найдите площадь треугольника в квадратных сантиметрах.

  7. Вычислите значение выражения

  8. На рисунке изображен график функции y=f(x) и касательная к этому графику в точке, абсцисса которой равна 1. Найдите значение производной функцииy=f(x) в точке 1.

  9. Тело движется прямолинейно по закону x=25*sin(2t), x - координата тела (в метрах), t - время (в секундах). Какую скорость (в м/с) имело тело в начале движения?

  10. Точка M и N расположены на окружностях верхнего и нижнего основания цилиндра, радиус основания которого равен 2, а высота - 3. Длина отрезка MN равна 4. Через отрезок MN проведена плоскость, параллельная образующей цилиндра. Найдите расстояние от оси цилиндра до этой плоскости.

  11. Найдите наименьшее значение функции
    .

  12. Объемы ежегодной добычи угля на первой, второй и третьей шахтах относятся как 9:10:20. Планируется увеличить годовую добычу угля на первой шахте на 20%, а на третьей уменьшить на 30%. На сколько процентов нужно увеличить годовую добычу угля на второй шахте, чтобы суммарный объем добываемого угля за год не изменился?

Чтобы увидеть результат работы, нажмите кнопку Оценка.

 

[Главная] [Русский язык] [Математика] [История] [Обществознание] [ГИА по Информатике]


© Промзелёва Татьяна  2011
tanyushka.p91@mail.ru

Hosted by uCoz