[Главная] [Русский язык] [Математика] [История] [Обществознание] [ГИА по Информатике]
 
 

Нажмите кнопку Сброс, затем приступайте к решению.

  1. В кодировке КОИ-8 каждый символ кодируется одним байтом. Определите информационный объем сообщения из 20 символов в этой кодировке.
    20 бит
    80 бит
    160 бит
    320 бит
  2. Для какого из указанных значений числа X истинно выражение ( X < 3 ) & (НЕ( X < 2))?
    1
    2
    3
    4
  3. В каком из перечисленных ниже предложений правильно расставлены пробелы между словами и знаками препинания?
    Добрая слава бежит, а худая-летит.
    Добрая слава бежит,а худая - летит.
    Добрая слава бежит , а худая - летит.
    Добрая слава бежит, а худая - летит.
  4. На схеме нарисованы дороги между четырьмя населенными пунктами A, B, C, D и указаны протяженности данных дорог.

    Определите, какие два пункта наиболее удалены друг от друга (при условии, что передвигаться можно только по указанным на схеме дорогам). В ответе укажите кратчайшее расстояние между этими пунктами.
    9
    13
    15
    17
  5. От разведчика была получена следующая шифрованная радиограмма, переданная с использованием азбуки Морзе:

    При передаче радиограммы было потеряно разбиение на буквы, но известно, что в радиограмме использовались только следующие буквы:
    Определите текст радиограммы. В ответе укажите, сколько букв было в исходной радиограмме.
    5
    6
    7
    12
  6. Пользователь работал с каталогом C:\Архив\Рисунки\Натюрморты. Сначала он поднялся на один уровень вверх, затем еще раз поднялся на один уровень вверх и после этого спустился в каталог Фотографии. Запишите полный путь каталога, в котором оказался пользователь.
    C:\Архив\Рисунки\Фотографии
    C:\Архив\Фотографии
    C:\Фотографии\Архив
    C:\Фотографии
  7. Дан фрагмент электронной таблицы:

    После выполнения вычислений была построена диаграмма по значениям диапазона ячеек A2:D2. Укажите получившуюся диаграмму.




  8. Исполнитель Черепашка перемещается на экране компьютера, оставляя след в виде линии. В каждый конкретный момент известно положение исполнителя и направление его движения. У исполнителя существуют две команды:
    Вперед n (где n - целое число), вызывающая передвижение Черепашки на n шагов в направлении движения.
    Направо m (где m - целое число), вызывающая изменение направления движения на m градусов по часовой стрелке.
    Запись Повтори k [Команда1 Команда2 Команда3] означает, что последовательность команд в скобках повторится k раз. Черепашке был дан для исполнения следующий алгоритм:
    Повтори 10 [Направо 36 Вперед 20 Направо 36]
    Какая фигура появится на экране?
    Правильный пятиугольник
    Правильный шестиугольник
    Правильный десятиугольник
    Незамкнутая ломаная линия

  9. Сколько Кбайт информации содержит сообщение объемом 216 бит? В ответе укажите одно число.

  10. В алгоритме, записанном ниже, используются целочисленные переменные a и b, а также следующие операции:
    := Присваивание
    + Сложение
    - Вычитание
    * Умножение
    / Деление
    Определите значение переменной a после исполнения данного алгоритма.
    a := 8
    b := 6+3*a
    a := b/3*a
    Порядок действий соответствует правилам арифметики.
    В ответе укажите одно число - значение переменной a.

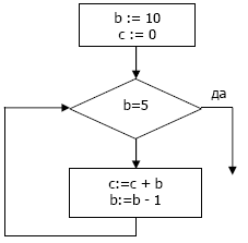
  11. Определите значение переменной с после выполнения фрагмента алгоритма, записанного в виде блок-схемы:

    Примечание: знаком := обозначена операция присваивания. В ответе укажите одно число - значение переменной с.

  12. Ниже в табличной форме представлен фрагмент базы данных о результатах тестирования учащихся (используется стобалльная шкала).

    Сколько записей в данном фрагменте удовлетворяет условию "Математика > 60 И Информатика > 55"?
    В ответе укажите одно число - искомое количество записей.

  13. Некоторое число в двоичной системе счисления записывается как 100110. Определите это число и запишите его в ответе в десятичной системе счисления.

  14. Дан фрагмент электронной таблицы:

    Определите значение, записанное в ячейке C2.
    В ответе укажите одно число - искомое значение.

  15. Даны два фрагмента текста из произведения М.Ю. Лермонтова "Герой нашего времени". В обоих фрагментах используется шрифт одного семейства (гарнитуры).

    Какие из перечисленных ниже свойств символов и абзацев различаются для левого и правого фрагментов текста? В ответе перечислите номера различающихся свойств в порядке возрастания, например, 124.
    1. Начертание шрифта (прямое, курсивное).
    2. Насыщенность шрифта (светлый, полужирный, жирный).
    3. Размер шрифта.
    4. Выравнивание строк (левое, правое, по центру, по ширине)

  16. У исполнителя Утроитель две команды, которым присвоены номера:
    1. вычти один
    2. умножь на три
    Первая из них уменьшает число на экране на 1, вторая - утраивает его. Запишите порядок команд в алгоритме получения из числа 5 числа 26, содержащем не более 5 команд, указывая лишь номера команд. (Например, 21211 - это алгоритм:
    умножь на три
    вычти один
    умножь на три
    вычти один
    вычти один
    который преобразует число 2 в 13.) Если таких алгоритмов более одного, то запишите любой из них.

  17. Скорость передачи данных через ADSL-соединение равна 256000 бит/c. Передача файла через данное соединение заняла 16 секунд. Определите размер файла в Кбайт.

  18. Некоторый алгоритм из одной цепочки символов получает новую цепочку следующим образом. Сначала записывается исходная цепочка символов, после нее записывается исходная цепочка символов в обратном порядке, затем записывается буква, следующая в русском алфавите за той буквой, которая в исходной цепочке стояла на последнем месте. Получившаяся цепочка является результатом работы алгоритма. Например, если исходная цепочка символов была ЛЕС, то результатом работы алгоритма будет цепочка ЛЕССЕЛТ.
    Дана цепочка символов ЕН. Какая цепочка символов получится, если к данной цепочке применить алгоритм дважды (то есть к данной цепочке применить алгоритм, а затем к результату его работы еще раз применить алгоритм)?

  19. Доступ к файлу htm.txt, находящемуся на сервере com.ru, осуществляется по протоколу http. В таблице фрагменты адреса файла закодированы буквами от А до Ж. Запишите последовательность этих букв, кодирующую адрес указанного файла в сети Интернет.

  20. В таблице приведены запросы к поисковому серверу.
    Расположите обозначения запросов в порядке возрастания количества страниц, которые найдет поисковый сервер по каждому запросу.
    Для обозначения логической операции "ИЛИ" в запросе используется символ |, а для логической операции "И" - &.

Чтобы увидеть результат работы, нажмите кнопку Оценка.

 

[Главная] [Русский язык] [Математика] [История] [Обществознание] [ГИА по Информатике]


© Промзелёва Татьяна  2011
tanyushka.p91@mail.ru

Hosted by uCoz